Lompat ke konten Lompat ke sidebar Lompat ke footer

Menentukan Invers Fungsi : Fungsi Invers Dan Turunan Fungsi Invers : Menentukan invers dari setiap fungsi, lalu dikomposisikan.

Menentukan Invers Fungsi : Fungsi Invers Dan Turunan Fungsi Invers : Menentukan invers dari setiap fungsi, lalu dikomposisikan.. Berdasaekan uraian diatas, terlihat bahwa ada dua cara untuk menentukan formula invers fungsi komposisi, yaitu : Suatu klub memberikan informasi bahwa besar pendapatan yang diperoleh. Dalam fungsi invers terdapat rumus khusus seperti berikut: Tentukan invers dari fungsi $ f(x) = 3^x $? Selesaikan persamaan sehingga diperoleh x sebagai fungsi y atau x = f − 1 (y).

Untuk mempelajari materi ini, kita harus menguasai materi relasi, fungsi, dan fungsi komposisi.berikut penjelasan tentang fungsi invers. F (x) = 2x² + 5. Terdapat 3 tahapan untuk menentukan fungsi invers, antara lain: Cara menentukan fungsi invers lengkap dan detail dalam video ini mulai dari fungsi linear, fungsi kuadrat, fungsi akar, sampa dengan fungsi yang berbentuk pe. Ganti variabel y dengan x pada f − 1 (y) sehingga diperoleh f − 1 (x) = y sebagai fungsi invers dari y = f (x).

Materi Fungsi Invers Kuadrat Komposisi Rumus Dan Contoh Soal
Materi Fungsi Invers Kuadrat Komposisi Rumus Dan Contoh Soal from caramenghitung.com
F (x) = 2x² + 5. F (x) = 2x² + 5. Berdasaekan uraian diatas, terlihat bahwa ada dua cara untuk menentukan formula invers fungsi komposisi, yaitu : Penjelasan mudah tentang konsep bagaimana caranya mencari invers fungsi yang harus kalian ketahui!#invers #fungsi #fibonacciku📌komen di kolom komentar jika. Cara menentukan invers fungsi (+cara cepat) hubungan suatu fungsi dan fungsi inversnya. Invers ini tidak terlepas dari identitas. Kumpulan soal cara menentukan nilai suatu fungsi, fungsi komposisi, dan invers fungsi beserta pembahasannya. Fungsi invers (definisi dan contoh soal) ini bisa bermanfaat.

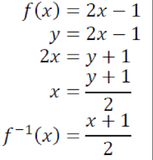
Ubahlah bentuk y = f (x) menjadi bentuk x = f (y).

Untuk mempelajari materi ini, kita harus menguasai materi relasi, fungsi, dan fungsi komposisi.berikut penjelasan tentang fungsi invers. F=\ { (a,b) \ | \ a \in a \ dan \ b \in b \} pemetaan b \in b ke a \in a diperoleh dengan cara menukarkan atau membalik pasangan terurut (a, b) \in f menjadi (b, a). F (x) = 45x−8 f ( x) = 4 5 x − 8. Menentukan invers fungsi komposisi dapat dilakukan dengan 2 cara, yaitu : Besar dana yang diperoleh bergantung pada banyaknya penonton yang menyaksikan pertandingan tersebut. F (x) = 4.log(2x−1) f ( x) = 4. F (x) = 2.sin(x2+1) f ( x) = 2. Penjelasan mudah tentang konsep bagaimana caranya mencari invers fungsi yang harus kalian ketahui!#invers #fungsi #fibonacciku📌komen di kolom komentar jika. Menentukan invers dari setiap fungsi, lalu dikomposisikan. Hal ini akan bermanfaat untuk sobat idschool nantinya, juga akan bermanfaat. Secara umum, pengertian fungsi invers dari suatu fungsi dinyatakan melalui. Sebenarnya, ada rumus praktis untuk menentukan suatu fungsi invers. Cara menentukan invers fungsi (+cara cepat) hubungan suatu fungsi dan fungsi inversnya.

Menentukan fungsi komposisinya, lalu diinverskan Dalam fungsi invers terdapat rumus khusus seperti berikut: Log ( 2 x − 1) 3. Sin ( x 2 + 1) 2. Sebelum melangkah lebih lanjut ke cara menentukan fungsi invers dari fungsi kuadrat, terlebih dahulu perlu dipahami kapan suatu fungsi memiliki fungsi invers.

Invers Fungsi Rasional
Invers Fungsi Rasional from maths.id
Menentukan invers fungsi komposisi dapat dilakukan dengan 2 cara, yaitu : Kumpulan soal cara menentukan nilai suatu fungsi, fungsi komposisi, dan invers fungsi beserta pembahasannya. Hubungan tersebut bisa dinyatakan seperti berikut: Dalam fungsi invers terdapat rumus khusus seperti berikut: Meskipun demikian, sebaiknya sobat idschool sudah menguasai konsep pencarian invers suatu fungsi di atas terlebih dahulu. F (x) = 2x² + 5. Cara menentukan invers suatu fungsi dapat dilakukan dengan melalui. Y = 2x² + 5.

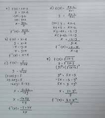
Untuk menentukan fungsi invers, maka ada tiga tahapan yang harus dilakukan:

Cara menentukan invers suatu fungsi, seperti cara di atas, memang cukup panjang. F (x) = 2x² + 5. Kumpulan soal cara menentukan nilai suatu fungsi, fungsi komposisi, dan invers fungsi beserta pembahasannya. Penjelasan mudah tentang konsep bagaimana caranya mencari invers fungsi yang harus kalian ketahui!#invers #fungsi #fibonacciku📌komen di kolom komentar jika. Sebelum melangkah lebih lanjut ke cara menentukan fungsi invers dari fungsi kuadrat, terlebih dahulu perlu dipahami kapan suatu fungsi memiliki fungsi invers. Log ( 2 x − 1) 3. Sebenarnya, ada rumus praktis untuk menentukan suatu fungsi invers. Fungsi invers (definisi dan contoh soal) ini bisa bermanfaat. Untuk memperoleh pemahaman lebih jelas mengenai fungsi, mari simak dan kerjakan contoh soal di bawah ini. Sin ( x 2 + 1) 2. Terdapat 3 tahapan untuk menentukan fungsi invers, antara lain: Invers ini tidak terlepas dari identitas. Cara menentukan invers fungsi (+cara cepat) hubungan suatu fungsi dan fungsi inversnya.

Ubahlah bentuk y = f (x) menjadi bentuk x = f (y). Suatu klub memberikan informasi bahwa besar pendapatan yang diperoleh. Cara cepat mencari fungsi invers about press copyright contact us creators advertise developers terms privacy policy & safety how youtube works test new features © 2021 google llc Ganti variabel y dengan x pada f − 1 (y) sehingga diperoleh f − 1 (x) = y sebagai fungsi invers dari y = f (x). Penjelasan mudah tentang konsep bagaimana caranya mencari invers fungsi yang harus kalian ketahui!#invers #fungsi #fibonacciku📌komen di kolom komentar jika.

Fungsi Invers Komposisi Matriks Rumus Contoh Soal Dan Jawabannya
Fungsi Invers Komposisi Matriks Rumus Contoh Soal Dan Jawabannya from kabarkan.com
Mencari invers fungsi pecahan dengan cara cepat about press copyright contact us creators advertise developers terms privacy policy & safety how youtube works test new features © 2021 google llc Penjelasan mudah tentang konsep bagaimana caranya mencari invers fungsi yang harus kalian ketahui!#invers #fungsi #fibonacciku📌komen di kolom komentar jika. Buatlah permisalan f (x) = y pada persamaan. F=\ { (a,b) \ | \ a \in a \ dan \ b \in b \} pemetaan b \in b ke a \in a diperoleh dengan cara menukarkan atau membalik pasangan terurut (a, b) \in f menjadi (b, a). Ganti variabel y dengan x pada f − 1 (y) sehingga diperoleh f − 1 (x) = y sebagai fungsi invers dari y = f (x). Cara menentukan invers suatu fungsi, seperti cara di atas, memang cukup panjang. Tentukan invers dari fungsi $ f(x) = 3^x $? Sebelum melangkah lebih lanjut ke cara menentukan fungsi invers dari fungsi kuadrat, terlebih dahulu perlu dipahami kapan suatu fungsi memiliki fungsi invers.

F (x) = 2x² + 5.

Invers ini tidak terlepas dari identitas. Cara menentukan invers suatu fungsi dapat dilakukan dengan melalui. Program menghitung invers dengan java. Ganti variabel y dengan x pada f − 1 (y) sehingga diperoleh f − 1 (x) = y sebagai fungsi invers dari y = f (x). Fungsi invers merupakan suatu fungsi kebalikan dari fungsi awal. Pengertian invers fungsi misalkan f memetakan unsur a \in a ke b \in b, sehingga f dapat dinyatakan dalam bentuk pasangan berurut: Hal ini akan bermanfaat untuk sobat idschool nantinya, juga akan bermanfaat. Sebenarnya, ada rumus praktis untuk menentukan suatu fungsi invers. Dalam fungsi invers terdapat rumus khusus seperti berikut: Mencari invers fungsi pecahan dengan cara cepat about press copyright contact us creators advertise developers terms privacy policy & safety how youtube works test new features © 2021 google llc Hubungan tersebut bisa dinyatakan seperti berikut: Menentukan invers fungsi secara umum istilah invers dalam matematika mempunyai arti kebalikan atau lawan. Kumpulan soal cara menentukan nilai suatu fungsi, fungsi komposisi, dan invers fungsi beserta pembahasannya.

Posting Komentar untuk "Menentukan Invers Fungsi : Fungsi Invers Dan Turunan Fungsi Invers : Menentukan invers dari setiap fungsi, lalu dikomposisikan."